Freely Available Test Spectra for Your Performance Investigation in XPS

M. Suzuki, S. Fukushima, and S. Tanuma (VAMAS/TWA2/A9 Project)


A set of artificial XPS test spectra is available for you to investigate a performance of analysis software. These spectra were applied in the VAMAS (Versailles Project on Advanced Materials and Standard) / TWA2 (Technical Working Area 2) / A9 project entitled "Evaluation of procedures for automated peak detection in x-ray photoelectron spectra". Though detailed is described in the article of Journal of Surface Analysis [J. Surf. Anal. 14, 104-117 (2007)], the brief explanation is given here.

You can find three kinds of format that correspond to Microsoft ExcelTM format (csv) (T), ISO format (cf. ISO 14975:2000) (I), and MultiPak (by ULVAC-PHI) format (P). Each consists of four sets; (1) T_BasicThree, T1, T2, and T3, (2) I_BasicThree, I1, I2, and I3, and (3) P_BasicThree, P1, P2, and P3.

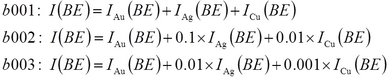
The set of BasicThree is original test spectra are prepared from measured XPS spectra of Au, Ag, and Cu. They are obtained over the binding energy (BE ) range of 1200 eV to 0 eV with an energy step of 0.5 eV. The three spectra named b001, b002, and b003, have intensities I (BE) from the following summations of spectra:


Here IM (BE ) denotes the spectrum of the metal M as a function of BE . The noise-superposed test spectra are also synthesized. Five spectra are generated with the same kind of noise superposition from each original test spectrum, and are designated b001_7m, b002_7m, and b003_7m (m: 1, 2, 3, 4, and 5), for a total of 15 noisy spectra. Additional five spectra are also generated as b001_4m, b002_3m, and b003_2m (m: 1, 2, 3, 4, and 5), providing 15 more noisy spectra. The indices 4, 3, and 2 almost correspond to the noise amplitudes for the peak heights of the Ar 2p, Cu 2p3/2, and Au 4s peaks, respectively. The sets of (T, I, P)1, (T, I, P)2, and (T, I, P)3 subsume the noise-superposed spectra synthesized from b001, b002, and b003, respectively.

The peak detection efficiency for the parent spectra, b001, b002, and b003, is reported in the Surface and Interface Analysis issue [Surf. Interface Anal. 40, 1337-1343 (2008)].

You can freely download the test spectra that are able to be analyzed by your software and investigate for your purpose. If you find something interesting, you are also invited to submit a technical/scientific report to Journal of Surface Analysis published by SASJ.